硫酸阿托品的分析是药学职称考试会涉及的内容,为了帮助大家了解,医学教育网为大家整理了硫酸阿托品药物分析与药物化学同步记忆的知识点内容,供大家参考!
1.鉴别--托烷生物碱的反应(Vitali反应)
托烷类生物碱的专属鉴别反应。反应试剂:发烟硝酸、醇制氢氧化钾
2.检查
茛菪碱:旋光度法
3.含量测定
非水溶液滴定法
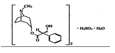
4. 硫酸阿托品结构特点、性质、Vitali反应和用途

1)结构特点:托品酸是(-)旋,提取时消旋化。外消旋体(+-)为阿托品
2)性质:①酯键:碱中水解,在弱酸中较稳定。(pH3.5~4.0最稳定。制备其注射液时应注意调整pH,加1%氯化钠作稳定剂,采用硬质中性玻璃安瓿,注意灭菌温度)
②叔胺(生物碱):碱性酚酞呈红色,与多数生物碱显色剂及沉淀剂反应
③Vitali反应(托品酸专属反应):经发烟硝酸加热处理+氢氧化钾醇液和一小粒固体氢氧化钾→紫堇色-暗红色-消失
3)用途:外周及中枢M胆碱受体拮抗作用,能解除平滑肌痉挛,可用于治疗各种类型的内脏绞痛、麻醉前给药及散瞳等;可抑制腺体分泌,可用于治疗盗汗;有抗心律失常和抗休克作用,临床用于治疗各种感染中毒性休克和心动过缓;还可以用于有机磷中毒时的解救。
【医学教育网原创 转载必究】
以上就是小编为大家整理的内容,希望对大家有所帮助,更多药学职称考试知识请关注医学教育网!














扫一扫立即下载


