关于公卫执业医师【卫生统计学】考点:直线相关系数的含义与计算,医学教育网编辑整理相关资料分享如下,希望对大家备考2020公卫执业医师《卫生统计学》相关内容有帮助。
【卫生统计学】直线相关系数的含义与计算
如果通过绘制散点图,发现两变量存在线性相关,就可以进一步计算相关系数来定量描述两变量相关程度。
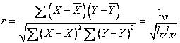
相关系数又称积差相关系数,常用r表示样本相关系数,Ρ表示总体相关系数。它是说明具有直线关系的两变量间,相关关系的密切程度与相关方向的统计指标。其公式为:

相关系数的特点是:1)没有单位,2)取值范围是-1≤r≤1。当两变量呈同向变化,0<r<1,为正相关;两变量呈反向变化,-1<r<0,为负相关;r=0,为零相关,表示无直线相关。
“公卫执业医师【卫生统计学】考点:直线相关系数的含义与计算”的内容,由医学教育网编辑整理搜集,更多备考资料干货,敬请关注医学教育网公卫执业/助理医师栏目。
【推荐阅读】

学员讨论(0)












扫一扫立即下载


