距笔试考试还有
天
2019年医师资格考试成绩查询入口正式开通!
立即查询
立即查询
考试辅导
热点推荐
等级相关系数rs意义和计算方法是公卫助理医师考试中可能涉及的相关知识,医学教育网整理具体内容如下:
等级相关系数rs意义和计算方法:
(1)意义
说明两个变量间是否存在直线相关关系以及相关的密切程度与相关方向。其取值范围是:-1≤rs≤1. rs >0表示正相关;rs =1,完全正相关;rs =0表示零相关;rs <0表示负相关;rs =-1,完全负相关;rs的绝对值越大,则变量间的关系越密切;
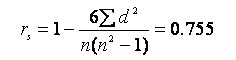
(2)计算公式

(3)rs计算方法举例
A、分别对X、Y的观察值从小到大编秩医|学教育|网整|理,若有相同的观察值则取平均秩次;B、求每对观察值秩次之差值d、d2及Σd2;本例Σd2=40.5 C、代入公式计算rs:
