距笔试考试还有
天
2019年医师资格考试成绩查询入口正式开通!
立即查询
立即查询
考试辅导
热点推荐
2012年公卫助理医师考试即将在9月份开考,医学教育网收集整理了公卫执业助理医师考试基础综合的常考知识点,供各位考生参阅。
蛋白质分子量颇大,介于一万到百万之间,故其分子的大小已达到胶粒1~100nm范围之内。球状蛋白质的表面多亲水基团,具有强烈地吸引水分子作用,使蛋白质分子表面常为多层水分子所包围,称水化膜,从而阻止蛋白质颗粒的相互聚集。
与低分子物质比较,蛋白质分子扩散速度慢,不易透过半透膜,粘度大,在分离提纯蛋白质过程中,我们可利用蛋白质的这一性质,将混有小分子杂质的蛋白质溶液放于半透膜制成的囊内,置于流动水或适宜的缓冲液中,小分子杂质皆易从囊中透出,保留了比较纯化的囊内蛋白质,这种方法称为透析(dialysis)。
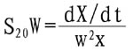
蛋白质大分子溶液在一定溶剂中超速离心时可发生沉降。沉降速度与向心加速度之比值即为蛋白质的沉降系数S.校正溶剂为水,温度20℃时的沉降系数S20.w可按下式计算:

式中X为沉降界面至转轴中心的距离,W为转子角速度,W2X为向心加速度,dX/dt为沉降速度。单位用S,即Svedberg单位,为1×1013秒,分子愈大,沉降系数愈高,故可根据沉降系数来分离和检定蛋白质。