【正保医学题库】全新升级!学习做题新体验!
书 店 直 播
APP下载

扫一扫,立即下载

医学教育网APP下载
微 信
医学教育网执业药师微信公号

官方微信med66_yaoshi

搜索|
您的位置:医学教育网 > 中药/药学基础 > 无机化学 > 正文

分子运动

2012-12-04 14:09 医学教育网
|
资料下载 打卡学习 2024年课程

内能U(热力学能)

体系的内能即体系内部所有粒子全部能量的总和。其中包括体系内各物质分子的动能、分子间相互作用的势能及分子内部的能量(包括分子内部所有微粒的动能与粒子间相互作用势能)。

内能是体系自身的性质,只决定于体系的状态,是体系的状态函数。

由于粒子运动方式及相互作用极其复杂,人们对此尚无完整的认识,所以体系内能的绝对值是无法确定的。

书中若未特别指明,所讨论的均为封闭体系医\学教育网搜集整理。

热力学能的变化

热(Q):体系与环境之间因温度不同而交换或传递的能量。

规定:体系从环境吸热时,Q为正值;

体系向环境放热时,Q为负值。

功(W):除了热之外,其它被传递的能量。

规定:环境对体系做功时,W为正值;

体系对环境做功时,W为负值。

体积功和非体积功

体积功:气体发生膨胀或压缩做的功

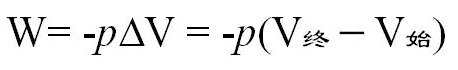
一般条件下进行的化学反应,只作体积功,热力学上的一个重要概念医\学教育网搜集整理,用W表示,单位J 。

体积功

非体积功,有用功:除体积功之外的功,电功,力学上的功等。用W‘表示。

题库小程序

距2024年执业药师考试还有

编辑推荐
免费资料
执业药师免费资料领取

免费领取

网校内部资料包

立即领取
考试辅导

直播课
【免费直播】2021执业药师牛年第一课-中药综专场!
【免费直播】3.10,2021执业药师牛年第一课-中药综专场!

直播时间:3月10日 19:30-21:00

主讲老师:刘 楝老师

回到顶部
折叠