1.2.1、分压定律
理想气体混合物:当几种不同的气体在同一容器中混合时,相互间不发生化学反应,分子本身的体积和它们相互间的作用力都可以忽略不计,这就是理想气体的混合物。
组分气体:理想气体混合物中每一种气体叫做组分体医\学教育网搜集整理。
例如:空气中,N2、O2、Ar、CO2、H2O…。每一种气体都为该体系中的一个组分气体,
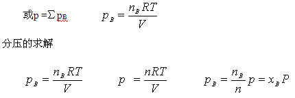
分压:在相同温度下,组分气体B占有与混合气体相同体积时所产生的压力,叫做组分气体B的分压。
Dalton分压定律:混合气体的总压等于混合气体中各组分气体分压之和。
p=p1+p2+…

Dalton分压定律是处理混合气体的基本定律,也是处理与气体反应有关的化学平衡、反应速率等问题中经常应用的重要公式。
1.2.2、分压定律的应用
例题:1-3、在潜水员自身携带的水下呼吸器中充有氧气和氦气混合气体(氮气在血液中溶解度较大,易导致潜水员患上气栓病,所以以氦气代替氮气)。对一特定的潜水操作来说,将25℃,0.10Mpa的46LO2和25℃,0.10Mpa的12Lhe充入体积为5.0L的储罐中,计算25℃下在该罐中两种气体的分压和混合气体的总压。
解:混合前后温度保持不变,氦气和氧气的物质的量不变。


例题:1-4、某学生在实验室中用金属锌与盐酸反应制取氢气。所得到的氢气用排水集气法在水面上收集。温度为18℃,室内气压计为753.8mmHg,湿氢气体积为0.567L.用分子筛除去水分,得到干氢气。计算同样温度\压力下干氢气的体积以及氢气的物质的量。
解:排水法收集气体时,通常将所收集气体中的水蒸气看作饱和蒸气。由化学手册中查出
。在湿氢气中,氢的分压为:
