化合物的生成焓
等温等压化学反应的热效应ΔrH等于生成物的焓之和与反应物和焓之和的差,为了有效地利用实验数据,方便地计算反应过程的焓变,以基于物质的焓的绝对值无法知道的事实,人们用了一种相对的办法计算ΔrHn.
标准摩尔生成焓:
规定:在标准压力Pθ及反应的温度下,由最稳定单质生成1mol化合物的反应的热效应称为该化合物的标准摩尔生成焓ΔfHθm.
最稳定单质的定义:
由以上的规定,可知最稳定单质的生成焓为零。
根据赫斯定律,可以知道那些不能由稳定单质直接生成的化合物的生成焓。
由化合物的生成焓计算反应的焓变ΔrHn
![]()
自键焓估算反应热
化学反应的过程实质上是旧键的拆散和新键的生成的过程,各种化学键的能量各不相同,这便是化学反应具有热效应的根本原因。
热化学中的键焓和键能的含义不同。
自键焓估计反应热

例:
离子生成焓
为了能够计算有离子参加的反应的反应热,需要定义离子的生成焓。
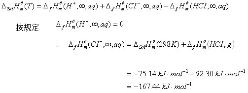
由于正负离子总是在一起的,我们无法得到某一种单独的离子,为了能够利用可以测定的反应热的数值确定离子的生成焓,规定无限稀释时的氢离子的生成焓为零。这样,实际上,一种离子的生成焓就是在规定的条件下由稳定单质生1mol这种离子反应过程的热效应。
HCI(g)H+(∞,aq)+CI-(∞,aq)
则有

这样就可以求出各种离子的生成焓
燃烧热(焓)
有机化合物的燃烧焓指1mol的有机化合物在Pθ时完全燃烧时吸收的热量
完全燃烧的含义:C→CO2(g)H2→H2O(l)S→SO2(g)
N→N2(g)CI→HCI(aq)
利用燃烧热数据计算反应热

利用燃烧热数据也可以求出一些化合物的生成焓
溶解热与稀释热
将物质溶于溶剂之中形成溶液或溶液的浓度在变化时都会有热效应,即溶解热与稀释热。
1.溶解热
一定量的溶质溶于一定量的溶剂之中的热效应称为溶解热医\学教育网搜集整理。
积分溶解热:一定量的物质(每mol),溶于一定量的溶剂之中,形成一定浓度的溶液,此过程吸收的热量称为积分溶解热。
微分溶解热:在给定浓度的溶液中,加入dn2mol的溶质,该过程吸收热δQ而为
该物质在该浓度下的微分溶解热。
2. 稀释热
把一定量的溶剂加入到一定量的溶液之中,此过程吸收的热量称为积分稀释热。
微分稀释热是在一定浓度的溶液中,加入dn1mol摩尔的溶剂,热效应为δQ,而
为微分稀释热。