如何增加混悬液型药剂的稳定性?为了帮助各位考生了解,医学教育网为大家整理如下:
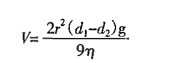
混悬液型药剂存在着热力学聚结、动力学沉降的不稳定性。其动力学沉降符合Stoke´s定律。
其中V=沉降速率;r=微粒半径;η=分散介质的黏度;d1=分散介质的密度;d2=分散介质的密度;g=重力加速度。
沉降速率降低,则混悬液型药剂的稳定性则增加。故根据公式可判断,减少微粒半径r、降低分散介质和分散相的密度即(d1-d2)减小、增大分散介质的黏度η这几种方法均可降低沉降速度。
另实际应用中:加入润湿剂,利于润湿和铺展;加入絮凝剂或反絮凝剂,可调节适宜的Zeta电位,也可增加混悬液型药剂的稳定性。
[正保医学教育网原创]
以上“如何增加混悬液型药剂的稳定性?”由医学教育网为大家整理,希望对大家有所帮助,更多资讯请关注医学教育网!

学员讨论(0)














扫一扫立即下载


