规培题库
APP下载

扫一扫,立即下载

医学教育网APP下载
微 信
正保医学教育网微信公众号

医学教育网微信

搜索|
您的位置:医学教育网 > 住院医师规范化 > 各地动态 > 上海 > 正文

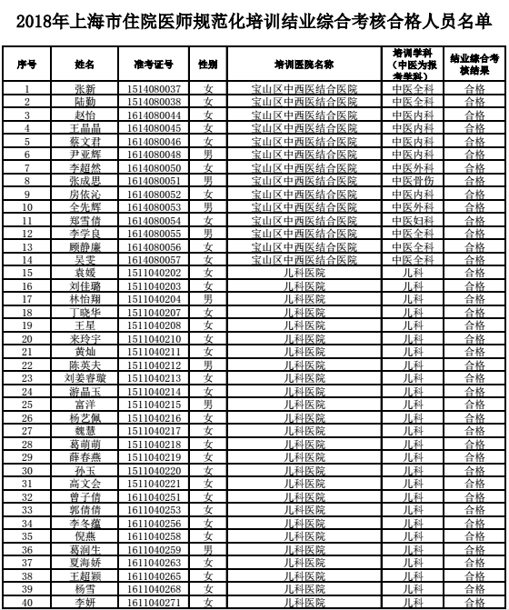
2018年上海市上半年住培结业综合考合格人员名单公布

2018-06-26 14:42 医学教育网
|

相信大家最近都在关注2018年上海市上半年住院医师规范化培训结业综合考试的相关信息,下面请大家可以仔细查看医学教育网编辑专门为您整理的,2018年上海市上半年住培结业综合考合格人员名单公布这篇文章吧。希望可以帮助到您!

2018年上海市住培上半年结业综合考合格人员名单公布

点击下载:2018年上海市上半年住培结业综合考合格人员名单.pdf

编辑推荐
免费领取

免费领取

网校内部资料包

立即领取
考试辅导
回到顶部
折叠