招生方案
APP下载

扫一扫,立即下载

医学教育网APP下载
手机网
医学教育网手机网

手机网二维码

微 信
医学教育网微信公号

官方微信

搜索|
您的位置:医学教育网 > 医学百科类 > 药物 > 正文

博来霉素药物名称

2012-08-10 18:22 医学教育网
|

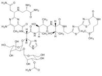
化学结构 药物名称: 博来霉素

药物别名: 争光霉素、博莱霉素、硫酸博来霉素、硫酸博莱霉素

英文名称: Bleomycin、Bleocin,BLM

医师资格考试公众号

编辑推荐
考试辅导
回到顶部
折叠