乳剂的基本质量评价要求包括哪些?为了帮助大家了解,医学教育网为大家搜集整理如下:
乳剂的给药途径不同,其质量要求也各不相同,乳剂的基本质量评价如下。
1. 乳剂的粒径
乳剂的粒径大小是衡量乳剂质量的重要指标,常用的测定方法包括:
(1)显微镜法:用光学显微镜可测定粒径范围0.2~100 μm的粒子,测定粒子数不少于600个。
(2)库尔特计数器法:库尔特计数器可测定粒径范围为0.6~150 μm的粒子和粒度分布。
(3)激光散射法:样品制备容易,测定速度快,可测定0.01~2 μm范围的粒子,适于静脉乳剂的测定。
(4)透射电镜法:可测定粒子大小及分布,观察粒子形态。测定的粒子范围为0.01~20 μm。
2. 分层现象
分层的快慢是衡量乳剂稳定性的重要指标。为了在短时间内观察乳剂的分层,用离心法加速分层将乳剂置于10 cm离心管中以3750 r/min的速度离心5小时,相当于放置一年的自然分层效果。
3.乳滴合并速度
乳滴合并速度符合一级动力学规律,即:

式中,N、N0分别为t和t0时间的乳滴数,K为合并速度常数,t为时间。测定随时间t变化的乳滴数N,求出合并速度常数K,可估算乳滴合并速度,用以评价乳剂的稳定性。
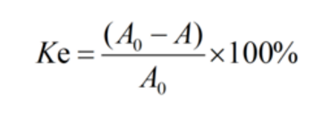
4. 稳定常数
乳剂离心前后的光密度变化百分率称为稳定常数,用Ke表示,如下:

式中,A0为未离心乳剂稀释液的吸光度,A为离心后乳剂稀释液的吸光度。
测定时,取乳剂适量于离心管中,以一定速度离心一定时间,从离心管底部取出少量乳剂,稀释后,用比色法在可见光波长下测定吸光度A,同法测定原乳剂稀释液的吸收光度A0,计算Ke。离心速度和检测波长的选择可通过试验确定。Ke值愈小,则乳剂愈稳定。
以上就是小编为大家整理的内容,希望对大家有所帮助,更多知识请关注医学教育网!