- 免费试听
- 免费直播

主讲:邵辉 8.8 18:30-20:00
预告
主讲:舒国畅 8.8 20:10-21:40
预告“头孢菌素及半合成头孢菌素类”是执业药师考试西药学专业理论中需要掌握的知识点,医学教育网小编整理内容如下:
头孢菌素是由与青霉菌近缘的头孢菌属(cephalosporium)真菌所产生,天然头孢菌素抗菌效力比较低,而且易产生耐药性。
头孢菌素为口一内酰胺环与氢化噻嗪环并合而成,由于氢化噻嗪环中双键与内酰胺中氮原子的未共用电子对形成共轭,而使β-内酰胺环对酸较稳定。头孢菌素为四元环和六元环的稠和体系,其张力较青霉素小。
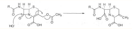
在头孢菌素分子中c一3位存在的乙酰氧基是引起头孢菌素不稳定的主要原因。c-3位的乙酰氧基为一个较好的离去基团,与c一2和c-3间的双键以及β-内酰胺环的氮原子形成一个较大的共轭体系,易接受亲核试剂对β-内酰胺羰基的进攻,使c-3位乙酰氧基带着负电荷离去,导致卢一内酰胺环开环,这是使头孢菌素药物活性降低的主要原因。

另外,头孢菌素c-3位的乙酰氧基进入体内后,也易被体内的酶水解生成活性较小的c-3羟基化合物,其羟基和c-2位的羧基处于c-2与c-3间的双键的同一侧,这一特定的空间位置使c-3羟基易和c-2羧基形成较稳定的内酯环。而由于活性必需基团游离羧基的消失,而使头孢菌素失去抗菌活性。

通过对c-3位存在的乙酰氧基进行结构改造,可明显改善其抗菌效力和药物代谢动力学性质。由于头孢菌素对酸都比较稳定,可以口服,且毒性比较小,与青霉素很少或无交叉过敏反应。因此,半合成头孢菌素的发展优于半合成青霉素,而且在对青霉素结构改造时取得的成功经验,完全可以应用到头孢菌素的结构改造中。
以上是医学教育网小编整理的相关内容,想了解更多执业药师考试知识的考生朋友,请点击医学教育网。