招生方案
APP下载

扫一扫,立即下载

医学教育网APP下载
手机网
医学教育网手机网

手机网二维码

微 信
医学教育网微信公号

官方微信

搜索|
您的位置:医学教育网 > 医学百科类 > 西药 > 正文

司坦唑醇片基本信息

2012-08-16 22:20 医学教育网
|

【药品名称】

通用名:司坦唑醇片

英文名:Stanozolol Tablets

商品名:结构式

汉语拼音:Sitanzuochun Pian

本品主要成分及其化学名称为:

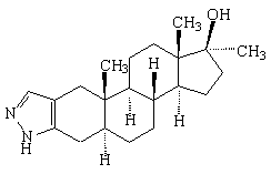
主要成分:司坦唑醇,其化学名称为:17β-羟基-17α-甲基雄甾烷醇[3,2-c]吡唑。

其结构式为:

分子式为:C21H32N2O

分子量:328.50

【性状】本品为白色片。

医师资格考试公众号

相关资讯
编辑推荐
考试辅导
回到顶部
折叠