招生方案
APP下载

扫一扫,立即下载

医学教育网APP下载
手机网
医学教育网手机网

手机网二维码

微 信
医学教育网微信公号

官方微信

搜索|
您的位置:医学教育网 > 医学百科类 > 药物 > 正文

戊酸雌二醇片基本信息

2012-08-01 17:27 医学教育网
|

通用名:戊酸雌二醇片

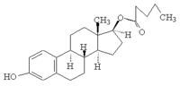
英文名:Estradiol Valerate Tabletes结构式汉语拼音:Wusuɑncierchun Piɑn

其化学名称为:3羟基雌甾-1,3,5(10)三烯-17β-醇-17-戊酸酯。

性状:戊酸雌二醇片为白色糖衣片,除去糖衣显白色;雌二醇环丙孕酮片为浅橙红色糖衣片,除去糖衣显白色。

结构式:

分子式:C22H32O3

分子量:356.51

贮藏:30℃以下贮存。妥善贮藏所有药物,勿使儿童触及。

有效期:5年。

医师资格考试公众号

编辑推荐
考试辅导
回到顶部
折叠