招生方案
APP下载

扫一扫,立即下载

医学教育网APP下载
手机网
医学教育网手机网

手机网二维码

微 信
医学教育网微信公号

官方微信

搜索|
您的位置:医学教育网 > 医学百科类 > 西药 > 正文

醋酸曲安奈德尿素软膏药品名称

2012-12-12 16:37 医学教育网
|

通用名: 醋酸曲安奈德尿素软膏

英文名:Triamcinolone Acetonide Acetate Urea Ointment

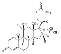
汉语拼音: Cusuan Qu'annaide NiaoSu Ruangao尿素结构式本品为复方制剂,其组份为每10克含醋酸曲安奈德0.01克,尿素1.0克。

其化学名称为:16α,17-[(甲基亚乙基)双(氧)]-11β,21-二羟基-9-氟孕甾-1,4-二烯-3,20-二酮-21-醋酸酯。醋酸曲安奈德结构式分子式 C24H33FO7

分子量 476.54

规 格 0.01克/10克

医师资格考试公众号

编辑推荐
考试辅导
回到顶部
折叠