分子以很高的速度做无规则运动,它们彼此不断地相互碰撞。研究气体分子的碰撞过程,对了解气体的扩散、热传导、黏滞现象以及气相反应的速率等均具有重要的意义。
在分子的每两次连续碰撞之间所经过的路程叫做自由程(freepath)。自由程也是在不断地无规则地改变着,其平均值叫做平均自由程(maenfreepath),用表示。
每一次碰撞过程实质上是在分子的作用力下,分子先是互相接近而后再散开的过程。分子是由原子构成的,原子是由电子和原子核组成的。当分子相距极近时,它们之间的相互作用力是斥力,并且这种斥力随着分子间距减少而很快增大。所以当一个分子趋向另一个分子,当它们之间的距离小到某一程度,斥力变得很大,分子就要改变原来的方向而相互远离。这就完成了一次碰撞过程。两个分子的质心碰撞时所能达到的最短距离称为有效直径(或称为碰撞直径),其数值往往要稍大于分子本身的直径。
设单位时间内一个分子的平均速度为va,在单位时间内与其它分子相碰的次数为z',显然
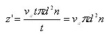
在一群分子里(单位体积的分子数设为n),我们先跟踪某一个分子,这个分子以平均速度而移动,先设其他分子都不动,求出这个分子与其他静止分子的碰撞次数。设分子的有效半径为r,有效直径为d.如果移动着的分子能与静止的分子相碰,则这两个分子的质心在运动方向的投影距离必须小于d.运动着的分子,其运动的方向与纸面垂直,以有效直径d(d=2r)为半径作虚线圆,这个面积称为分子碰撞的有效截面积。凡是另一个分子的质心,其投影落在虚线所示的截面之内者,都有可能与这个移动着的分子相碰。由于分子与其它分子碰撞,它移动的轨迹是不规则的,呈“之”字形折线。移动着的分子,在时间t内走过的路程,其有效截面所掠过的体积为
,凡是落在这个体积内的静止分子,都会与移动着的分子发生碰撞。所以,移动着的分子在单位时间内与其它分子相碰的次数为
这是假定只有一个分子移动,其他分子静止不动而得到的结果。实际上每个分子都是移动的,应该用相对速度来代替上式中的平均速率。考虑到分子的混乱运动,分子平均相对运动速度与各自运动的速度的关系为
由此可以得到分子运动的平均自由程为![]()